In (19.28.1)–(19.28.3) we assume . Also, again denotes the beta function (§5.12).
| 19.28.1 | ||||
|
ⓘ
| ||||
| 19.28.2 | ||||
|
ⓘ
| ||||
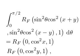
| 19.28.3 | |||
|
ⓘ
| |||
| 19.28.4 | |||
| , . | |||
|
ⓘ
| |||
In (19.28.5)–(19.28.9) we assume , and are real and positive.
| 19.28.5 | |||
|
ⓘ
| |||
| 19.28.6 | |||
|
ⓘ
| |||
| 19.28.7 | |||
|
ⓘ
| |||
| 19.28.8 | |||
|
ⓘ
| |||
| 19.28.9 | |||
|
ⓘ
| |||
| 19.28.10 | |||
| . | |||
|
ⓘ
| |||